- Платформа Moltbook подверглась критике из-за... (358)
- Минюст США обжаловал слишком мягкий вердикт... (371)
- Microsoft заявила о создании платформы для... (229)
- Intel назначила нового руководителя в сфере... (532)
- Рекордные показатели квартала не удержали... (830)
- Apple прокачала Xcode, внедрив вайб-кодинг с... (624)
- Disney+ скоро начнёт заполняться... (1032)
- Наимпортозамещались: темпы роста продаж... (682)
- ChatGPT «упал» по всему миру: тысячи человек... (1084)
- Новая статья: Почему MSI Spatium M560... (632)
- Стала известна дата «смерти» ChromeOS —... (1137)
- Магазин Epic Games Store станет быстрее и... (1239)
- В Steam и VK Play вышла демоверсия... (720)
- Western Digital раскрыла сроки выпуска HDD... (756)
- Western Digital готовит революцию на рынке... (1005)
- Старая-новая Helio G100, мало ОЗУ и без... (897)
История Андромеды оказалась более драматичной, чем у Млечного Пути: исследование химического состава звёзд раскрывает её прошлое
Дата: 2023-10-14 16:05
Исследование, проведённое под руководством учёных из Университета Хартфордшира, выявило драматическую историю Андромеды, ближайшей к нам соседней галактики. Международная группа астрофизиков определила детали истории галактики через галактическую археологию — подход, который изучает химический состав звёзд и развитие их галактики-хозяина, чтобы восстановить её прошлое.
Учёные исследовали элементный состав Андромеды, и содержание газа и пыли в планетарных туманностях, образованных из отброшенных внешних слоев затухающих звёзд низкой массы.
Изображение галактики Андромеда (M31), полученное с помощью широкоугольного инфракрасного исследовательского аппарата NASA WISE. Синий цвет обозначает зрелые звёзды, а желтый и красный — пыль, нагретую новорождёнными массивными звёздами. Источник: NASA/JPL-Caltech/UCLA Анализ показал, что формирование Андромеды было более драматичным и мощным, чем формирование нашей Галактики. После интенсивного всплеска звездообразования в момент создания галактики между 2 и 4,5 миллиардами лет назад произошёл ещё один всплеск, скорее всего вызванный так называемым «влажным слиянием» — слиянием двух богатых газом галактик, которое провоцирует интенсивное звездообразование.
Ученые, основываясь на положении и движении отдельных звёзд внутри галактики, давно предполагали, что Андромеда сформировалась путём слияния двух галактик. Исследования профессора Кобаяши проливают свет на природу и последствия такого слияния с использованием химического состава звёзд и объясняют, как звёзды и элементы формировались на протяжении истории Андромеды.
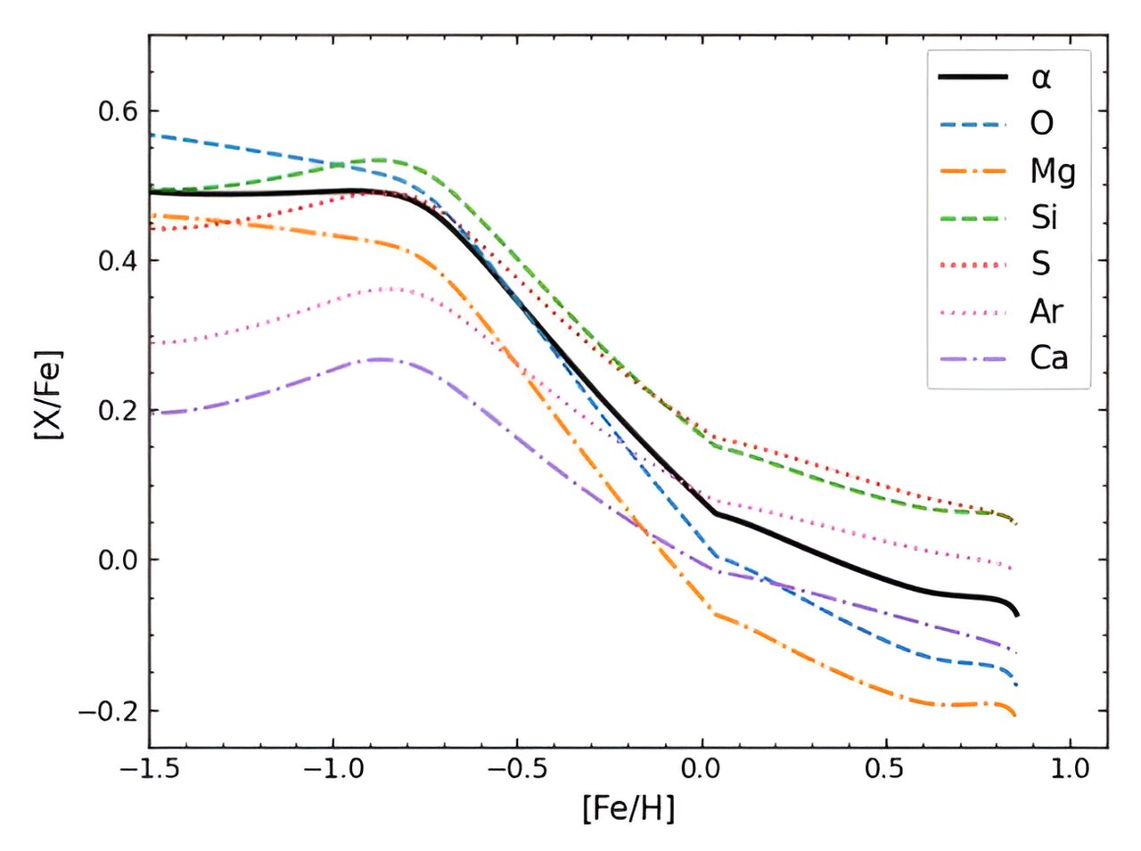
Эволюция содержания элементов в модели старого более толстого диска M31 (> 4,5 млрд лет). Источник: arXiv. DOI: 10.48550/arxiv.2309.01707 Профессор астрофизики Кобаяши из Центра астрофизических исследований Университета Хартфордшира, рассказал: «Это фантастический пример того, как галактическая археология может предоставить новые аспекты в истории Вселенной. Анализируя химическое обогащение различных поколений звёзд в Андромеде, мы можем оживить её историю и лучше понять её происхождение».
Теоретическая модель профессора Кобаяши предсказывает два различных состава звёзд в двух компонентах диска Андромеды. В одном составе кислорода в десять раз больше, чем железа, а в другом — примерно одинаковое количество кислорода и железа. Это моделирование подтверждено спектроскопическими наблюдениями планетарных туманностей и наблюдениями красных гигантов с помощью космического телескопа «Джеймс Уэбб» (JWST).
Новое исследование продолжает труд профессора Кобаяши о происхождении элементов во Вселенной. Как он объясняет: «Кислород — один из так называемых альфа-элементов, создаваемых массивными звёздами. Другие альфа-элементы включают неон, магний, кремний, серу, аргон и кальций. Кислород и аргон измерялись с использованием данных наблюдений планетарных туманностей, но Андромеда находится настолько далеко, что для измерения других элементов, включая железо, потребуется JWST».
В ближайшие годы JWST и крупные наземные телескопы будут продолжать наблюдения Андромеды, подтверждая новые результаты.
Подробнее на iXBT
Предыдущие новости
Apple и Broadcom уладили спор с Калтехом по поводу патентов на Wi-Fi
Компании Apple и Broadcom, с одной стороны, и Калифорнийский технологический институт (Калтех), с другой, смогли урегулировать патентный спор, связанный с технологией Wi-Fi, который продолжался с 2016 года. Выступавшая истцом сторона Калтеха отозвала свои претензии без права инициировать повторное разбирательство. Первоначально истец заявлял, что оборудованные чипами...
Проблема с AMD Anti-Lag+ вышла за рамки CS2, затронув игроков Call of Duty и Apex Legends
На днях Valve объявила о проблеме автоматической выдачи VAC-банов игрокам Counter-Strike 2 якобы за читерство, а на деле связанных с функцией AMD Anti-Lag+ и модификацией одного из файлов DLL. После этого любители игр начали активно докладывать о других подобных инцидентах — затронуты оказались и другие онлайн-игры, в частности, Call of Duty и Apex Legends. Источник...
Cougar представила антипригарное геймерское кресло NXSYS AERO с 200-мм RGB-вентилятором
Производители игровых кресел прилагают немалые усилия, чтобы геймерам было комфортно. Однако это не решает проблему того, что в креслах бывает жарко и люди продолжают потеть, особенно если речь о моделях с обивкой из кожи, натуральной или нет. Приятным исключением обещает стать кресло Cougar NXSYS AERO, оборудованное системой охлаждения. Источник изображений:...
Лиза Су уйдёт из совета директоров Cisco — вероятно, с развитием AMD появился конфликт интересов
Глава AMD Лиза Су (Lisa Su) и двое других членов совета директоров Cisco уведомили производителя телекоммуникационного оборудования о намерении оставить свои посты. Госпожа Су вошла в совет директоров Cisco в начале 2020 года, но с тех пор произошло множество событий, которые могли изменить обстоятельства — основной причиной ухода из совета директоров Cisco может быть...