- OpenAI превратится в чипмейкера — Broadcom... (92)
- Российский ответ «Готике» почти готов к... (64)
- Cooler Master выпустит корпус-сервант... (311)
- Первый компактный флагман на Dimensity 9500.... (330)
- Microsoft сломала инструмент обновления до... (337)
- FSR 4 заработала на старых Radeon — но... (361)
- Календарь релизов — 13–19 октября: Steam... (259)
- Отправиться в жуткое кооперативное... (272)
- Лавкрафтианский хоррор-шутер Beneath не... (408)
- Погода благоприятная, к запуску последнего... (287)
- В «VK Музыке» появились билеты на концерты и... (373)
- Realme представила AI Edit Genie — голосовой... (305)
- Первый в истории смартфон с гибридной... (283)
- Новая статья: Intel Xeon 6+ Clearwater... (386)
- Новый Renault Duster 2025 появился в продаже... (431)
- ИИ посоветует: в Rutube заработала... (411)
Астрономы изучили свойства двойного пульсара PSR J1431-4715
Дата: 2024-09-09 23:00
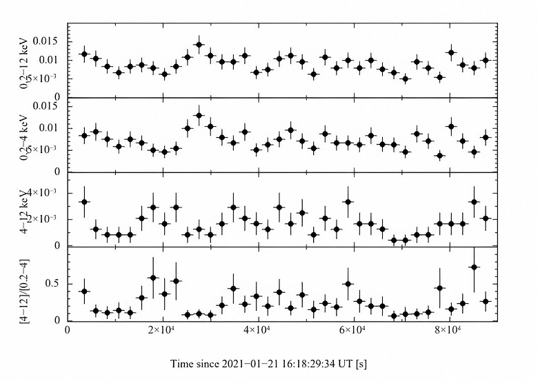
Европейские астрономы провели рентгеновские наблюдения миллисекундного двойного пульсара PSR J1431−4715 с помощью спутника XMM-Newton Европейского космического агентства. Результаты наблюдательной кампании, опубликованные на сервере препринтов arXiv, дают больше информации о природе этой системы.
Пульсары представляют собой сильно намагниченные вращающиеся нейтронные звёзды, испускающие электромагнитное излучение. Самые быстро вращающиеся из них, с периодами вращения менее 30 миллисекунд, известны как миллисекундные пульсары (MSP). Исследователи предполагают, что они образуются в двойных системах, когда изначально более массивный компонент превращается в нейтронную звезду, которая затем раскручивается из-за аккреции вещества из вторичной звезды.
PSR J1431−4715, или сокращённо J1431, является двойным MSP, расположенным на расстоянии от 5250 до 8400 световых лет от Земли. С периодом вращения 2,01 миллисекунды и мощностью замедления вращения на уровне 68 дециллионов эрг/с, он является одним из самых быстрых и энергичных пульсаров.

Класс экстремальных двойных пульсаров с полувырожденными звёздами-компаньонами называют «паучьими пульсарами». Эти объекты классифицируются как «чёрные вдовы», если компаньон имеет чрезвычайно малую массу (менее 0,1 массы Солнца), и как «красноспинные», если вторичная звезда тяжелее.
Предыдущие наблюдения показали, что на импульсное радиоизлучение J1431 влияют сильные затмения при бинарном орбитальном периоде около 10,8 часов. Также было обнаружено, что в системе находится невырожденная звезда-донор с минимальной массой 0,12 солнечных масс, и поэтому J1431 был классифицирован как «красноспинный».
Однако, учитывая, что J1431 был открыт в 2015 году, он остаётся плохо изученным. Группа астрономов под руководством Домитиллы де Мартино из Астрономической обсерватории Каподимонте в Неаполе решила исследовать J1431 в рентгеновском диапазоне с помощью космического рентгеновского телескопа ESA XMM-Newton. Исследование было дополнено оптическими многополосными фотометрическими данными с 3,5-метрового телескопа New Technology Telescope (NTT) обсерватории ESA в Чили.
Наблюдения показали, что рентгеновский спектр J1431 лишён особенностей и соответствует нетепловому излучению со степенным фотонным индексом 1,6 и незначительным поглощением. Более того, было обнаружено присутствие теплового компонента, что может указывать на вклад нагретой «полярной шапки» в мягкое рентгеновское излучение.

Собранные данные указывают на то, что звезда-компаньон является звездой F-типа с массой около 0,2 солнечных масс, что подтверждает природу J1431. Однако звезда-компаньон оказалась горячее, чем большинство в таких системах, её дневная и ночная температуры были измерены примерно в 7500 и 7400 К соответственно.
На основе наблюдений астрономы обнаружили, что J1431 имеет двойной наклон в 59 градусов и что система расположена примерно в 10100 световых годах от нас, то есть дальше, чем предполагалось ранее. Полученные данные также свидетельствуют о массивности пульсара, поскольку его масса, как предполагается, находится в диапазоне 1,8–2,2 солнечных масс.
Результаты этого исследования имеют важное значение для понимания природы «красноспинных» пульсаров и их роли в эволюции двойных систем. И демонстрируют потенциал рентгеновских наблюдений для изучения этих объектов и их свойств.
Подробнее на iXBT
Предыдущие новости
Все новые цвета всех новых iPhone 16 показали живьём на видео. Золотой несколько отличается от цвета на рендерах
Компания Apple представила новые iPhone. Кроме прочего, они получили новые цвета. И теперь мы можем взглянуть на них живьём. скриншот видео Booredatwork.com Это важно, так как у Apple нередко бывает, что цвета на рендерах и у реальных смартфонов заметно различаются. Как можно видеть, базовые iPhone действительно получили довольно насыщенные цвета. Розовый и зелёный имеют...
Карликовая планета Церера может быть действительно родом из пояса астероидов
Учёные из Института Макса Планка по исследованию солнечной системы в Геттингене совершили важное открытие, которое может изменить понимание происхождения карликовой планеты Цереры. Церера, диаметром почти 1000 километров, является крупнейшим телом в поясе астероидов и имеет сложную геологию. Космический зонд NASA Dawn обнаружил обширные залежи аммония на поверхности Цереры,...
Столкновения ледяных спутников с кометами могут создавать условия для возникновения жизни
Учёные из Университета Джонса Хопкинса завершили исследование, которое показало, что столкновения с ледяными телами во внешней Солнечной системе, такими как Европа, Энцелад и Титан, могут оказать значительное влияние на химию поверхности и под поверхностью, что потенциально может привести к возникновению жизни. Команда, возглавляемая планетологом Шеннон М. Маккензи,...
Стали известны российские цены на новые iPhone. Базовые модели будут стоить около 100 000 рублей, а iPhone 16 Pro и Pro Max — более 200 000 рублей
Компания Apple представила свои новые смартфоны, сохранив цены на уровне прошлогодних моделей. Теперь стали известны и цены в России. Пресс-служба Яндекс.Маркета рассказала, когда ждать новинки и сколько денег нужно приготовить. А приготовить их нужно немало. Новые iPhone будут доступны к заказу на Яндекс Маркете с 10 сентября. Сперва покупателям будут доступны iPhone 16...