- Samsung старается изо всех сил: сразу 8... (198)
- Прототипы флагманского внедорожника Xiaomi... (254)
- Apple создала ИИ, который генерирует тексты... (394)
- CD Projekt Red отправила «Ведьмака» в... (290)
- EHang представила «летающую маршрутку» VT35... (273)
- Intel и AMD отметили год совместной работы ... (285)
- Акции Broadcom взлетели в цене на 9 % после... (341)
- Автомобильный коллапс: в порту и на... (336)
- Автомобильный коллапс: в порту и на... (378)
- Москвичи распробовали белорусские... (330)
- Повышение цен на машины с 1 ноября 2025... (556)
- Новый патч для Hollow Knight: Silksong... (523)
- Один из крупнейших протуберанцев 2025 года... (520)
- В России создают новую платёжную систему без... (472)
- Nvidia запустила продажи DGX Spark... (521)
- Microsoft представила первый ИИ-генератор... (505)
Учёные изучили мощную рентгеновскую супервспышку на гигантской звезде HD 251108
Дата: 2024-10-15 20:14
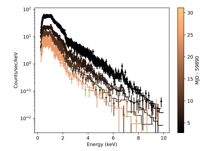
Международная группа астрономов, используя телескоп Neutron Star Interior Composition Explorer (NICER) и наземные телескопы, провела наблюдения за мощной рентгеновской супервспышкой звезды HD 251108, произошедшей в 2022 году. Результаты наблюдательной кампании, опубликованные на сервере препринтов arXiv, дают более подробную информацию о вспышечной активности этой звезды.
Супервспышки — это массивные выбросы энергии с поверхности звезды. Обнаружение новых вспышек этого типа и их детальное изучение имеет важное значение для лучшего понимания происхождения этих событий и взаимодействия между магнитными полями и поверхностями звёзд.
Расположенная примерно в 1646 световых годах от Земли, HD 251108 — это эволюционировавшая и магнитно-активная гигантская звезда K-типа — примерно в семь раз больше Солнца. Звезда относительно холодная, с эффективной температурой 4460 К, а её масса сопоставима с массой Солнца.

В конце 2022 года HD 251108 испытала мощную рентгеновскую супервспышку, и группа астрономов под руководством Ганса Морица Гюнтера из Института астрофизики и космических исследований имени Кавли Массачусетского технологического института начала следить за этим событием, чтобы лучше понять вспышечную активность одиночных гигантских звёзд.
«Мы следили за фазой затухания супервспышки в течение 28 дней с помощью NICER и с Земли. Мы отслеживаем затухание вспышки с беспрецедентной детализацией по нескольким компонентам корональной температуры», — пишут исследователи в статье.
Наблюдения показали, что супервспышка 2022 года на HD 251108 имела пиковый поток около 10 дециллионов эрг/с в диапазоне 0,5–4,0 кэВ и экспоненциальное время затухания 2,2 дня на ранней фазе затухания. Это делает её одной из самых мощных вспышек, когда-либо наблюдавшихся.
На основании собранных данных длина вспышечной петли оценивалась в два-четыре раза больше радиуса HD 251108. Более того, примерно через 10 дней после пика вспышки было обнаружено, что вспышка претерпела короткую фазу ограниченного повторного нагрева, а кривая блеска начала отклоняться от первоначального спада.

Исследование показало, что химическое изобилие HD 251108 стабильно на протяжении всей вспышки и соответствует типичным активным звёздам с эффектом обратного первого ионизационного потенциала (IFIP). Астрономы отметили, что во время начального распада кривая рентгеновского блеска совпадает с распадом потока водорода-альфа, в то время как плазма показывает некоторый повторный нагрев.
Согласно статье, HD 251108 демонстрирует вращательную модуляцию с периодом 21,3 дня. Такое поведение можно объяснить большими звёздными пятнами, стабильными в течение нескольких лет, но вращающимися в поле зрения и за его пределами.
Наблюдения также показали, что звезда демонстрирует фотометрическую изменчивость порядка примерно 0,5 звёздной величины, на временных масштабах одного или нескольких десятилетий порядка 0,5 звёздной величины. Это согласуется с большими и стандартными стабильными звёздными пятнами.
Подробнее на iXBT
Предыдущие новости
Огромный датчик «телевика» Vivo X200 Pro против Samsung Galaxy S24 Ultra и iPhone 16 Pro Max. Смартфоны свели в битве камер
Компания Vivo вчера представила флагманский смартфон X200 Pro, и буквально сразу же ряд крупных блогеров опубликовал свои обзоры и сравнения. В частности, блогер TechTablets сравнил камеру новинки с камерами Galaxy S24 Ultra и iPhone 16 Pro Max. обложка видео источника Сразу видно тотальное доминирование смартфона Vivo в режимах, где задействован «телевик». И фото, и видео...
Международная группа астрономов подтвердила открытие первого троянского астероида Сатурна
Международная группа астрономов и астрофизиков подтвердила, что астероид 2019 UO 14 является троянским астероидом Сатурна. Эта новость была опубликована в статье на сервере препринтов arXiv и вызвала значительный интерес в научном сообществе. Троянские астероиды представляют собой особый тип астероидов, которые следуют примерно по тому же пути вокруг Солнца, что и планетs. В...
Обновлённая консоль Microsoft Xbox Series X всё-таки получила новый процессор. Правда, производительность от этого не выросла
Компания Microsoft сегодня представила обновлённые игровые приставки Series X/S, которые, как оказалось, отличаются не только отсутствием дисковода у одной из версий, но и процессором. скриншот видео источника Правда, параметры APU не изменились, изменился техпроцесс. Оригинальная модель Xbox Series X опиралась на гибридный процессор Project Scarlett, производящийся по...
Rambus представила полный набор компонентов для выпуска DDR5-памяти MRDIMM-12800 и RDIMM-8000
Компания Rambus объявила о выпуске наборов электронных SMD-компонентов, необходимых для производства модулей ОЗУ RDIMM и MRDIMM нового поколения для серверов. Наборы включают тактовые генераторы, драйверы для управления питанием и некоторые другие компоненты. В представленный Rambus набор вошли следующие базовый...